在PyTorch實現中,autograd會隨著用戶的操作,記錄生成當前variable的所有操作,并由此建立一個有向無環圖。用戶每進行一個操作,相應的計算圖就會發生改變。
更底層的實現中,圖中記錄了操作Function,每一個變量在圖中的位置可通過其grad_fn屬性在圖中的位置推測得到。在反向傳播過程中,autograd沿著這個圖從當前變量(根節點\textbf{z}z)溯源,可以利用鏈式求導法則計算所有葉子節點的梯度。
每一個前向傳播操作的函數都有與之對應的反向傳播函數用來計算輸入的各個variable的梯度,這些函數的函數名通常以Backward結尾。
下面結合代碼學習autograd的實現細節。
在PyTorch中計算圖的特點可總結如下:
autograd根據用戶對variable的操作構建其計算圖。對變量的操作抽象為Function
對于那些不是任何函數(Function)的輸出,由用戶創建的節點稱為葉子節點,葉子節點的grad_fn為None。葉子節點中需要求導的variable,具有AccumulateGrad標識,因其梯度是累加的
variable默認是不需要求導的,即requires_grad屬性默認為False,如果某一個節點requires_grad被設置為True,那么所有依賴它的節點requires_grad都為True
variable的volatile屬性默認為False,如果某一個variable的volatile屬性被設為True,那么所有依賴它的節點volatile屬性都為True。volatile屬性為True的節點不會求導,volatile的優先級比requires_grad高。
多次反向傳播時,梯度是累加的。反向傳播的中間緩存會被清空,為進行多次反向傳播需指定retain_graph=True來保存這些緩存
非葉子節點的梯度計算完之后即被清空,可以使用autograd.grad或hook技術獲取非葉子節點的值
variable的grad與data形狀一致,應避免直接修改variable.data,因為對data的直接操作無法利用autograd進行反向傳播
反向傳播函數backward的參數grad_variables可以看成鏈式求導的中間結果,如果是標量,可以省略,默認為1
PyTorch采用動態圖設計,可以很方便地查看中間層的輸出,動態的設計計算圖結構
在 e.backward() 執行求導時,系統遍歷 e.grad_fn.next_functions ,分別執行求導。
如果 e.grad_fn.next_functions 中有哪個是 AccumulateGrad ,則把結果保存到 AccumulateGrad 的variable引用的變量中。
否則,遞歸遍歷這個function的 next_functions ,執行求導過程。
最終到達所有的葉節點,求導結束。同時,所有的葉節點的 grad 變量都得到了相應的更新。
他們之間的關系如下圖所示:

例子:

x = torch.randn(5, 5)
y = torch.randn(5, 5)
z = torch.randn((5, 5), requires_grad=True)
a = x + z
print(a.requires_grad)
可以z是一個標量,當調用它的backward方法后會根據鏈式法則自動計算出葉子節點的梯度值。
但是如果遇到z是一個向量或者是一個矩陣的情況,這個時候又該怎么計算梯度呢?這種情況我們需要定義grad_tensor來計算矩陣的梯度。在介紹為什么使用之前我們先看一下源代碼中backward的接口是如何定義的:
torch.autograd.backward(
tensors,
grad_tensors=None,
retain_graph=None,
create_graph=False,
grad_variables=None)
grad_tensors作用
x = torch.ones(2,requires_grad=True)
z = x + 2
z.backward()
>>> ...
RuntimeError: grad can be implicitly created only for scalar outputs
當我們運行上面的代碼的話會報錯,報錯信息為RuntimeError: grad can be implicitly created only for scalar outputs。

x = torch.ones(2,requires_grad=True)
z = x + 2
z.sum().backward()
print(x.grad)
>>> tensor([1., 1.])
我們再仔細想想,對z求和不就是等價于z點乘一個一樣維度的全為1的矩陣嗎?即sum(Z)=dot(Z,I),而這個I也就是我們需要傳入的grad_tensors參數。(點乘只是相對于一維向量而言的,對于矩陣或更高為的張量,可以看做是對每一個維度做點乘)
代碼如下:
x = torch.ones(2,requires_grad=True)
z = x + 2
z.backward(torch.ones_like(z)) # grad_tensors需要與輸入tensor大小一致
print(x.grad)
>>> tensor([1., 1.])
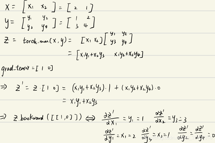
x = torch.tensor([2., 1.], requires_grad=True).view(1, 2)
y = torch.tensor([[1., 2.], [3., 4.]], requires_grad=True)
z = torch.mm(x, y)
print(f"z:{z}")
z.backward(torch.Tensor([[1., 0]]), retain_graph=True)
print(f"x.grad: {x.grad}")
print(f"y.grad: {y.grad}")
>>> z:tensor([[5., 8.]], grad_fn=MmBackward>)
x.grad: tensor([[1., 3.]])
y.grad: tensor([[2., 0.],
[1., 0.]])

補充:PyTorch的計算圖和自動求導機制
自動求導機制簡介
PyTorch會根據計算過程自動生成動態圖,然后根據動態圖的創建過程進行反向傳播,計算每個節點的梯度值。
為了能夠記錄張量的梯度,首先需要在創建張量的時候設置一個參數requires_grad=True,意味著這個張量將會加入到計算圖中,作為計算圖的葉子節點參與計算,最后輸出根節點。
對于PyTorch來說,每個張量都有一個grad_fn方法,包含創建該張量的運算的導數信息。在反向傳播的過程中,通過傳入后一層的神經網絡的梯度,該函數會計算出參與運算的所有張量的梯度。
同時,PyTorch提供了一個專門用來做自動求導的包torch.autograd。它包含兩個重要的函數,即torch.autograd.bakward和torch.autograd.grad。
torch.autograd.bakward通過傳入根節點的張量以及初始梯度張量,可以計算產生該根節點的所有對應葉子節點的梯度。當張量為標量張量時,可以不傳入梯度張量,這是默認會設置初始梯度張量為1.當計算梯度張量時,原先建立起來的計算圖會被自動釋放,如果需要再次做自動求導,因為計算圖已經不存在,就會報錯。如果要在反向傳播的時候保留計算圖,可以設置retain_graph=True。
另外,在自動求導的時候默認不會建立反向傳播的計算圖,如果需要在反向傳播的計算的同時建立梯度張量的計算圖,可以設置create_graph=True。對于一個可求導的張量來說,也可以調用該張量內部的backward方法。
自動求導機制實例
定義一個函數f(x)=x2,則它的導數f'(x)=2x。于是可以創建一個可導的張量來測試具體的導數。
t1 = torch.randn(3, 3, requires_grad=True) # 定義一個3×3的張量
print(t1)
t2 = t1.pow(2).sum() # 計算張量的所有分量的平方和
t2.backward() # 反向傳播
print(t1.grad) # 梯度是原始分量的2倍
t2 = t1.pow(2).sum() # 再次計算張量的所有分量的平方和
t2.backward() # 再次反向傳播
print(t1.grad) # 梯度累積
print(t1.grad.zero_()) # 單個張量清零梯度的方法
得到的結果:
tensor([[-1.8170, -1.4907, 0.4560],
[ 0.9244, 0.0798, -1.2246],
[ 1.7800, 0.0367, -2.5998]], requires_grad=True)
tensor([[-3.6340, -2.9814, 0.9120],
[ 1.8488, 0.1597, -2.4492],
[ 3.5600, 0.0735, -5.1996]])
tensor([[ -7.2681, -5.9628, 1.8239],
[ 3.6975, 0.3193, -4.8983],
[ 7.1201, 0.1469, -10.3992]])
tensor([[0., 0., 0.],
[0., 0., 0.],
[0., 0., 0.]])
需要注意的一點是: 張量綁定的梯度張量在不清空的情況下會逐漸累積。這在例如一次性求很多Mini-batch的累積梯度時是有用的,但在一般情況下,需要注意將張量的梯度清零。
梯度函數的使用
如果不需要求出當前張量對所有產生該張量的葉子節點的梯度,可以使用torch.autograd.grad函數。
這個函數的參數是兩個張量,第一個張量是計算圖的張量列表,第二個參數是需要對計算圖求導的張量。最后輸出的結果是第一個張量對第二個張量求導的結果。
這個函數不會改變葉子節點的grad屬性,同樣該函數在反向傳播求導的時候釋放計算圖,如果要保留計算圖需要設置retain_graph=True。
另外有時候會碰到一種情況:求到的兩個張量之間在計算圖上沒有關聯。在這種情況下需要設置allow_unused=True,結果會返回分量全為0的梯度張量。
t1 = torch.randn(3, 3, requires_grad=True)
print(t1)
t2 = t1.pow(2).sum()
print(torch.autograd.grad(t2, t1))
得到的結果為:
tensor([[ 0.5952, 0.1209, 0.5190],
[ 0.4602, -0.6943, -0.7853],
[-0.1460, -0.1406, -0.7081]], requires_grad=True)
(tensor([[ 1.1904, 0.2418, 1.0379],
[ 0.9204, -1.3885, -1.5706],
[-0.2919, -0.2812, -1.4161]])
計算圖構建的啟用和禁用
由于計算圖的構建需要消耗內存和計算資源,在一些情況下計算圖并不是必要的,所以可以使用torch.no_grad這個上下文管理器,對該管理器作用域中的神經網絡計算不構建任何的計算圖。
還有一種情況是對于一個張量,在反向傳播的時候可能不需要讓梯度通過這個張量的節點,也就是新建的計算圖需要和原來的計算圖分離,使用張量的detach方法,可以返回一個新的張量,該張量會成為一個新的計算圖的葉子結點。
總結
PyTorch使用動態計算圖,該計算圖的特點是靈活。雖然在構件計算圖的時候有性能開銷,但PyTorch本身的優化抵消了一部分開銷,盡可能讓計算圖的構建和釋放過程代價最小,因此,相對于靜態圖的框架來說,PyTorch本身的運算速度并不慢。
有了計算圖之后,就可以很方便地通過自動微分機制進行反向傳播的計算,從而獲得計算圖葉子節點的梯度。在訓練深度學習模型的時候,可以通過對損失函數的反向傳播,計算所有參數的梯度,隨后在優化器中優化這些梯度。
以上為個人經驗,希望能給大家一個參考,也希望大家多多支持腳本之家。
您可能感興趣的文章:- pytorch 中autograd.grad()函數的用法說明
- 淺談Pytorch中autograd的若干(踩坑)總結
- PyTorch一小時掌握之autograd機制篇